※本稿は、NHK「笑わない数学」制作班編『笑わない数学』(KADOKAWA)の一部を再編集したものです。
決闘で死亡した青年が残した「遺書」
今回取り上げるテーマは「ガロア理論」と呼ばれる現代数学の基礎のひとつといえるほどの、とてもとても抽象的な捉えどころのない理論です。
この理論は、理論それ自体もですが、背景にある人間ドラマもまたドラマチックなのです。
始まりは、1832年5月30日、パリの街角に響いた一発の銃声でした。
人々が駆けつけてみると、決闘で腹を撃たれた1人の青年が倒れていました。青年の名はエヴァリスト・ガロア。フランスの王政打倒を目指す有名な革命家で、大物数学者たちの度肝を抜いたガロア理論を創り出した天才だったのです。
さらに驚くことに、ガロア理論は、この決闘の前夜に彼が記した遺書の中に書き残されていました。
これだけでももうドラマチックで、ガロアとガロア理論について興味がわいてきませんか? でもその前に、学校で学ぶ数学に話を戻させてください。
どんな方程式にも「解の公式」はあるのか
突然ですが皆さんは、「2次方程式の解の公式」は覚えていますか? ここでおさらいしておきましょう。
まず、「2次方程式」は
という数式です(図表1)。この方程式の「解」(答え)は次のように表されます(図表2)。
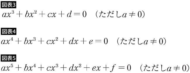
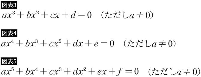
では、「3次方程式(図表3)」「4次方程式(図表4)」「5次方程式(図表5)」
の解の公式は、どんな感じのものなのでしょうか?
つまり
どんな方程式にも解の公式はあるのか? ないのか?
が、ガロア理論誕生のきっかけとなりました。
実は、3次方程式、4次方程式には解の公式があります。その発見をめぐって、数学者たちのとんでもないドタバタ劇があったのです。
舞台は16世紀のイタリア。主役は医者であり数学者にして賭博師、そして大ペテン師ともいわれたジェロラモ・カルダーノです。カルダーノは、3次方程式の解の公式を史上初めて発表した人物として知られています。
ところが、その解の公式は、カルダーノが発見したものではなく、真の発見者はデル・フェッロとタルタリアという人物でした。2人はそれぞれ独立して公式を発見しながら、秘密にしていました。その理由は、当時盛んに行われていた金銭を賭けた数学決闘に勝つため。頭脳という武器のみを使ったバトルは数学者の富と名声を大きく左右するものであり、解の公式は重要な企業秘密だったのです。




