人気記事
ビジネス
マネー
政治・経済
キャリア
ライフ
社会
会員限定
動画
検索
ログイン
会員登録
ログアウト
マイページ
#コミック
#書籍抜粋
#健康
#日本史
#再配信
#大河ドラマ
#話し方
#中国
「ギャンブルで負けない方法」がわかれば健康で長生きできる…この"謎理論"を天才物理学者が解説する
※写真はイメージです
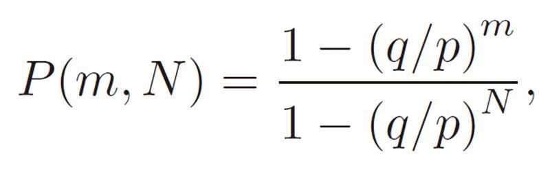
出所=『
数学の言葉で世界を見たら
』(幻冬舎新書)
出所=『
数学の言葉で世界を見たら
』(幻冬舎新書)
※写真はイメージです
大栗博司『数学の言葉で世界を見たら』(幻冬舎新書)
この写真の記事を読む
あわせて読みたい
この記事の読者に人気の記事
機械式でも鍵は"しなやかさ"。パフォーマンス・クロノを求め続けるタグ・ホイヤーの自負[2026年新作腕時計]
トップページへ
【dancyu食堂】もちっと香ばしい麺が主役!半年以上かけて開発した"普通で最高においしい"オリジナル焼きそばが祭でデビュー
トップページへ
本当に頭のいい人は「文章の読み方」が違う…偏差値70の超進学校の生徒が「読書の後」に必ずやっていること
トップページへ