人気記事
ビジネス
マネー
政治・経済
キャリア
ライフ
社会
会員限定
動画
検索
ログイン
会員登録
ログアウト
マイページ
#書籍抜粋
#コミック
#健康
#日本史
#中学受験
#筋肉
#中国
#書籍抜粋
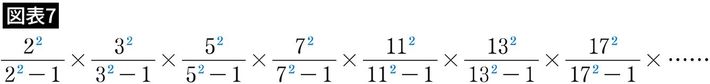
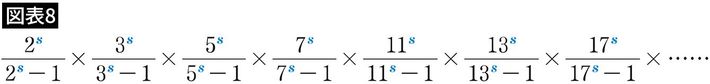
中学数学で習う「最も基本的な数」はナゾだらけ…天才数学者たちを悩ませ続ける「素数」の未解決問題
カジュアル衣料品販売「GU(ジーユー)」の次世代型店舗「GU STYLE STUDIO」のオープニングイベントに出席したお笑いトリオ「パンサー」の尾形貴弘さん(東京都)=2018年11月29日
出所=『
笑わない数学
』
出所=『
笑わない数学
』
出所=『
笑わない数学
』
出所=『
笑わない数学
』
出所=『
笑わない数学
』
出所=『
笑わない数学
』
出所=『
笑わない数学
』
出所=『
笑わない数学
』
出所=『
笑わない数学
』
出所=『
笑わない数学
』
出所=『
笑わない数学
』
NHK「笑わない数学」制作班編『笑わない数学』(KADOKAWA)
出所=『
笑わない数学
』
出所=『
笑わない数学
』
この写真の記事を読む
あわせて読みたい
この記事の読者に人気の記事
社内政治が巧みな"コミュ力おばけ"が出世する会社に限界がきている…日本企業にはびこる"閉塞感"の正体
トップページへ
わが子に「中学受験」をさせていいか一発でわかる…歴30年の塾講師「公立・私立の分かれ道」で見るべきポイント
トップページへ
【dancyu食堂】もちっと香ばしい麺が主役!半年以上かけて開発した"普通で最高においしい"オリジナル焼きそばが祭でデビュー
トップページへ