人気記事
ビジネス
マネー
政治・経済
キャリア
ライフ
社会
会員限定
動画
検索
ログイン
会員登録
ログアウト
マイページ
#書籍抜粋
#コミック
#朝ドラ
#日本史
#健康
#インドネシア
#中学受験
#国際経済
「テストだと×」なのに数学界では「間違い」と言い切れない…「インドの魔術師」が執念で導いた「1+2+3+4+…」の解
※写真はイメージです
出典=『
笑わない数学3
』(KADOKAWA)
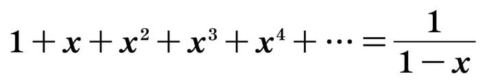
出典=『
笑わない数学3
』(KADOKAWA)
出典=『
笑わない数学3
』(KADOKAWA)
出典=『
笑わない数学3
』(KADOKAWA)
出典=『
笑わない数学3
』(KADOKAWA)
出典=『
笑わない数学3
』(KADOKAWA)
レオナルド・オイラーの肖像(写真=ドイツ博物館/CC-PD-Mark/
Wikimedia Commons
)
シュリニヴァーサ・ラマヌジャン(写真=Konrad Jacobs/PD India/
Wikimedia Commons
)
出典=『
笑わない数学3
』(KADOKAWA)
NHK「笑わない数学」制作班編『笑わない数学3』(KADOKAWA)
この写真の記事を読む
あわせて読みたい
この記事の読者に人気の記事
わが子の人生を「小6がピーク」にしてはいけない…中学受験で「幸せになる子」と「不幸になる子」の決定的な違い
トップページへ
TOEIC900点超えなのに言葉が出ない…そんな私がペラペラになった「暗記ナシでボキャブラリーが倍増する」方法
トップページへ
【脂がバターのように甘い!】高級魚クロムツの干物は、とろけるような上品な味わいで白飯が止まらない
トップページへ